CALNP? RNAi in vitro
CALNP? RNAi轉染試劑是基于多納特有的CALNP?技術平臺開發的高效核酸遞送試劑,適合將siRNA高效輸送到細胞質...
了解詳情
概述
CALNP? RNAi HTS轉染試劑是基于多納特有的CALNP?技術平臺開發的高效、高通量小核酸轉染試劑,適用于大規模的siRNA/ASO等序列篩選,使用便利性、穩定性及轉染效果均優于國際主流的siRNA轉染試劑。
極簡的操作流程
A、B液混合成轉染工作液后,可用多通道移液器批量進行siRNA轉染復合物配制及加藥。

極佳的穩定性
轉染工作液和siRNA轉染復合液在長時間放置的情況下,轉染效率無顯著變化,確保高通量序列篩選實驗中,前后配液的序列不因轉染試劑穩定性導致序列效率差異,避免遺漏高效率序列。

超高的轉染效率
本試劑轉染siRNA具有超高的靶基因敲低水平,在多種細胞上靶基因抑制水平均達到或大幅度優于國際領先試劑品牌水平。

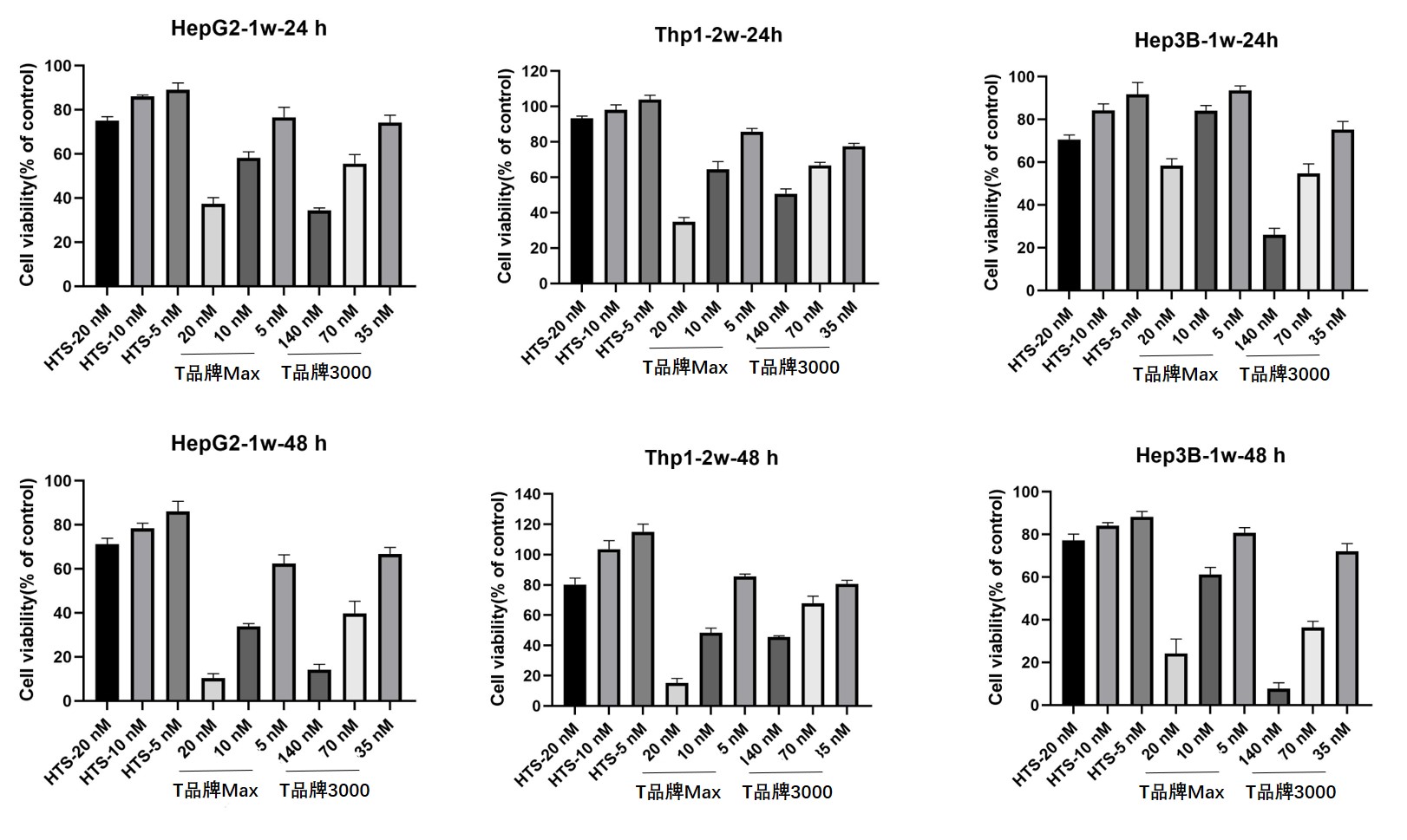
極低的細胞毒性
本試劑在實現超高的靶基因抑制水平同時,具有極低的細胞毒性,在轉染試劑推薦使用濃度的上下2倍范圍內測試,不同細胞上均維持良好的細胞活力。
