產品概述
本制品是利用SYBR Green I嵌合熒光法進行qPCR的試劑盒,是一種2X premix型試劑,反應液配制十分簡,僅需加入引物、模板及RNase free water即可。本制品對SYBR Green I濃度、PCR反應體系都進行了優化,采用了反應性能優越的Pro Taq HS DNA polymerase 體系,能夠有效抑制非特異性產物的擴增,提高PCR擴增效率,可以進行高靈敏度的Real Time PCR反應,在寬廣的測量區域內得到良好的標準曲線,從而對靶基因進行準確定、檢測。
產品組成
試劑盒組成 | FZ020-100 | FZ020-500 |
2X SYBR Green qPCR Premix*1 | 1mL*1 | 1mL*5 |
ROX Reference Dye (4 μM) | 40μL*1 | 200μL*1 |
ROX Reference Dye (20 μM) | 40μL*1 | 200μL*1 |
*1:溶液在 -20℃ 存放時可能會產生白色或淡黃色的沉淀,使用前可于冰上溶解或手握溶解,顛倒混勻至沉淀全部消失。請勿渦旋振蕩。
儲存及運輸條件
冰袋運輸。避光保存在-20℃; 產品可于4℃,保存6個月。
操作方法
(以ABI QuantStudio? 6 Flex Real-Time PCR Systems為例)
1. 配制RT-qPCR反應液
組分名稱 | 20μL體系 |
2X SYBR Green qPCR Premix*1 | 10 μL |
Primer F (10μM) | 0.5 μL*2 |
Primer R (10μM) | 0.5 μL *2 |
ROX Reference Dye (4 μM) *3 | 0.4 μL |
Template *4 | ≤ 100 ng |
RNase free water | up to 20 μL |
*1:產品避免反復凍融,防止酶活降低;使用前可上下顛倒混勻, 請勿渦旋振蕩混勻;產品中含有 SYBR Green,操作過程中注意避光。
*2:引物推薦使用終濃度為0.25 μM,也可以根據需要在0.2~1.0 μM范圍內調整。
*3:若需要使用ROX進行熒光信號校準,請按照儀器推薦量添加;若不需要,可使用RNase free water代替ROX Reference Dye加入反應體系。
*4:在 20 μl 體系里, DNA 模板添加量通常在 100 ng 以下,必要時可以進行梯度稀釋,以確定合適的模板添加量;如果使用本制品進行 cDNA 的定量PCR 擴增, cDNA 原液使用體積不要超過定量 PCR 反應總體積的 10%。
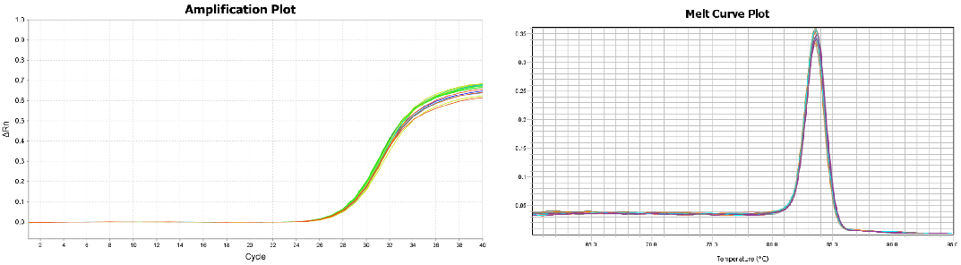
2. 設置qPCR反應程序*1
推薦選擇兩步法擴增程序*2,具體如下表所示:
qPCR反應程序(兩步法) | |||
步驟 | 溫度 | 時間 | 循環數 |
1 | 95 ℃ | 30 sec*3 | 1 |
2 | 95 ℃ | 5 sec | 40 |
60 ℃ | 30 sec*4 | ||
3 | 熔解曲線 | ||







